前5月35股退市创纪录,还有8只在路上,涉及121万户股东!24年205股离场,“应退尽退”提速

By | 2022年6月6日

原文标题:前5月35股退市创纪录,还有8只在路上,涉及121万户股东!24年205股离场,“应退尽退”提速
本文摘要:退市新规实施的第二年,A股常态化退市机制正在逐步形成,与此同时,伴随着注册制改革的稳步推进,A股“新陈代谢”持续提速。从ST平能1月24日终止上市,到3月22日*ST新亿锁定“2022年A股首家强制退市公司”的头衔,再到5月31日晚间*ST… …
本文关键词:,

正文:

退市新规实施的第二年,A股常态化退市机制正在逐步形成,与此同时,伴随着注册制改革的稳步推进,A股“新陈代谢”持续提速。

从ST平能1月24日终止上市,到3月22日*ST新亿锁定“2022年A股首家强制退市公司”的头衔,再到5月31日晚间*ST网力公告退市,A股年内退市公司数量已增至33家,创出历年新高。

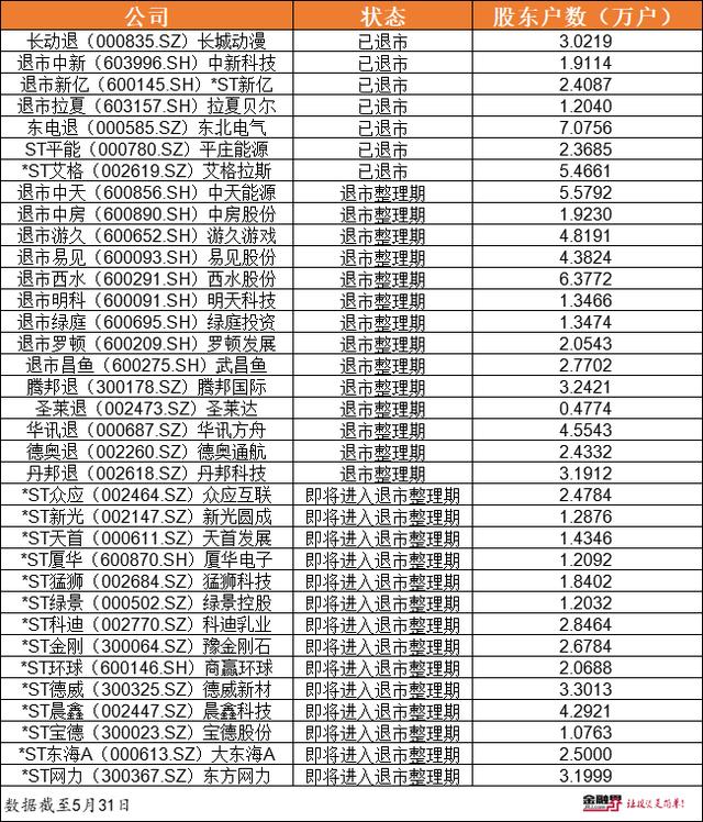
年内35公司确定退市,还有8家触及“红线”,涉及121.2万股东

截至5月31日,退市新亿、退市中新、退市拉夏、东电退、长动退、*ST艾格、ST平能7家公司已完成退市程序。退市拉夏、退市中新、退市新亿为财务类原因退市。*ST艾格因连续20个交易日的每日股票收盘价均低于人民币1元退市。东电退、长动退属于其他原因被终止上市的情形。ST平能因被龙源电力拟换股吸收合并内而终止上市。

除此之外,腾邦退(300178.SZ)、丹邦退(002618.SZ)、圣莱退(002473.SZ)、华讯退(000687.SZ)、德奥退(002260.SZ)、退市易见(600093.SH)、退市明科(600091.SH)、退市罗顿(600209.SH)、退市昌鱼(600275.SH)、退市游久(600652.SH)、退市中天(600856.SH)、退市中房(600890.SH)、退市西水(600291.SH)、退市绿庭(600695.SH)14只股票已进入退市整理期。

*ST德威(300325.SZ)、*ST众应(002464.SZ)、*ST天首(000611.SZ)、*ST猛狮(002684.SZ)、*ST金刚(300064.SZ)、*ST晨鑫(002447.SZ)、*ST绿景(000502.SZ)、*ST厦华(600870.SH)、*ST科迪(002770.SZ)、*ST新光(002147.SZ)、*ST环球(600146.SH)、*ST宝德(300023.SZ)14家公司也即将进入退市整理期。


不仅于此,上述35家公司之外,还有*ST数知(300038.SZ)、*ST聚龙(300202.SZ)、*ST金泰(600385.SH)、*ST海医(600896.SH)、*ST海创(600555.SH)、*ST当代(000673.SZ)6家公司已触及“退市红线”处于停牌状态,等待交易所的“宣判”。同时,*ST济堂(600090.SH)、*ST邦讯(300312.SZ)也是“准退市”公司,两家公司双双被立案调查,交易所拟终止上市。


上述43家公司涉及股东数超121.2万户。

24年超200家公司告别A股,今年退市数量创纪录,退市制度逐步完善

1900年开市至今,A股已走过32个年头。1999年琼民源A因证券置换而退市成为A股第一家退市公司。2001 年 2 月 23 日,中国证监会发布了《亏损上市公司暂停上市和终止上市实施办法》,标志着我国证券市场的退市机制正式出台,PT 水仙因连续四年亏损于当年 4 月被终止上市,成为我国第一家被终止上市的上市公司。

1999年以来的24年间,共有205只股票退出A股舞台(含吸收合并、私有化、股权置换)。2019年以前,仅2004、2005、2006、2007以及2015退市公司数量达到了10家及以上,此后A股退市数量逐年增加,2022年前五个月已有35家确定“离场”,超过2021年的23家创出历史新高,而这一规模在未来的7个月里势必会进一步扩容。


回顾过去,我国资本市场退市制度的建设明显滞后于资本市场的扩张速度,不过近年来随着资本市场改革的推进,在注册制的契机下,作为重要配套制度的退市制度正快速完善,A股生态也得以进一步优化。

1993年,《公司法》的颁布搭建起退市制度的初步框架,2001年退市机制正式出台,至今的20多年中,我国退市制度主要经历以下四次内容完善。

1.多元化退市制度构建。2006 年和 2012 年,深交所分别发布了中小板和创业板退市制度。退市制度针对各层次资本市场进行多元化完善,从而更有针对性的满足各层次资本市场的退市需求。

2.增加重大违法公司强制退市制度。2014 年 10 月,证监会出台《关于改革完善并严格实施上市公司退市制度的若干意见》增加了对欺诈发行、重大信息披露违法等重大违法公司强制退市制度。

3.健全主动退市与完善强制退市指标体系。2018 年 7 月,证监会发布关于修改《关于改革完善并严格实施上市公司退市制度的若干意见》的决定。2020 年 3 月新《证券法》生效,沪深证券交易所对及退市制度的相关内容进行了相应修订,构建财务类、交易类、规范类和重大违法类等 4 类强制退市指标体系。2020年12月底正式发布的退市新规在退市标准的科学性和退市流程的高效性等方面有了显著的提升。

4.完善上市公司退市后监管工作。2022 年 2 月,三大证券交易所、全国股转公司、中国结算联合发布退市公司进入退市板块挂牌转让的实施办法。解决退市公司挂牌过程中主要存在的退市公司配合度不高、主办券商承接机制不畅等问题。


退市制度梳理

退市知识

如果不慎遭遇退市股该怎么办?我们一起看看退市的相关知识。

01 什么是股票退市?

退市是上市公司由于未满足交易所有关财务等其他上市标准而主动或被动终止上市的情形,即由一家上市公司变为非上市公司。也就是说,这家企业的股票不能在证券交易所继续挂牌上市并交易了。

02 退市有哪些类型?

退市主要包括主动退市及强制退市两大类,其中强制退市的指标又分为4类:财务类、交易类、规范类、重大违法类。


退市新规各板块规则变动

03 股票被终止上市后,如果持有该股是否血本无归?

一般而言,大多数公司退市前会进入退市整理期(注:交易类退市不设整理期),在这段时间投资者可以进行交易。根据新规,退市整体期为15天,在这段时期内,股票简称上会加一个明显的标识,比如退市**,**退等来区分风险。

在整理期,投资者可以卖出股票,但如果需要买入整理股票的,需要签署退市整理交易权限。另外,开通权限需具备2年以上的股票交易经历等门槛。

由于整理期首日交易日不设涨跌幅限制,退市股票一般会在当日出现大幅下跌,空头力量充分释放后走势基本维持平稳。金融界特别提醒,退市股炒作风险需警惕,切勿“刀口舔血”。

04 股票退市整理期届满后,持有退市股还能卖出吗?

如果投资者在整理期没有及时卖出该股,那么在退市整理期满后,交易所将在五个交易日内对其股票进行摘牌,公司退市。公司被摘牌后,股份转入全国中小企业股份转让系统,持股的股东可以在股转系统进行股份转让。但需要注意的是开通新三板需要具备2年以上的股票交易经验,且开通权限10个交易日证券账户和资金账户内的资产日均不低于一类200万(基础层)和二类100万(创新层)的要求。

在股转系统交易的股票不设置涨跌幅限制,以做市商交易模式为主,退市板块成交量极低,投资者持有的市值往往形同于“归零”。过往仅出现过极少数退市企业重新上市的案例,如招商南油(原长航油运)、国机重装等。

目前的退市整理期和《关于退市公司进入退市板块挂牌转让的实施办法》为中小股东提供了时间来应对,也为后续股份转让做了保证。同时,上市公司由于重大违法强制退市的情况下,投资者可以通过司法途径寻求民事救济或赔偿。

毫无疑问,2022年是将是A股的退市大年。因此对于投资者来说,随着A股市场优胜劣汰机制的逐渐深化,对于个股的选择更为重要,尽量在投资者的时候规避业绩连续亏损和出现虚假财报的个股,擦亮双眼,投资须谨慎。

本文源自金融界

本文作者:金融界,转载本文请注明作者出处~

发表回复

您的邮箱地址不会被公开。 必填项已用 * 标注